Latihan Soal Dan Jawaban Pkn Smp Kelas Vii Halaman 67
Soal Dan Jawaban Pkn Kelas 7 Semester 2 Halaman 150 Dan 151
Kisi Kisi Soal Dan Jawaban Pkn Smp Kelas 7 Semester Ganjil
Soal Dan Kunci Jawaban Pat Ppkn Smp Kelas 7 Kurikulum 2013 Tahun
Kunci Dan Perangkat Pkn Smp Kelas 7
Soal Pkn Kelas 7 Kurikulum 2013 Revisi Beserta Kunci Jawaban Bab 5
Soal Pkn Kelas 7 Kurikulum 2013 Revisi Beserta Kunci Jawaban Bab 4
Buku Guru Pkn Kelas Vii Smp Kurikulum 2013
Kumpulan Soal Pkn Smp Kelas 7 Semester 1 Didno76 Com
Kunci Jawaban Pkn Kelas 7 Tabel 5 2 Brainly Co Id
Buku Guru Kelas Vii Ppkn Kurikulum 2013 Edisi Revisi 2016
Soal Essay Dan Jawaban Pkn Kelas Xi
Soal Dan Kunci Jawaban Soal Latihan Ukk Pkn Smp Kelas 7 Komunitas
Soal Uas Pkn Kelas 7 Semester 1 Dan Kunci Jawaban Ayo Madrasah
Kunci Jawaban Buku Pkn Kelas 12 Kurikulum 2013 Uji Kompetensi Bab 3
Uji Kompetensi 4 1 Ppkn Kelas 7 Halaman 113 Brainly Co Id
Soal Pkn Kelas 7 Kurikulum 2013 Revisi Beserta Kunci Jawaban Bab 6
5 Dwi Kisi Kisi Soal Pkn Kelas 7 Semester 2
Soal Pas Pkn Kelas 7 Smp Mts K13 Tahun 2018 2019 Ayo Madrasah
Soal Uas Pkn Kelas 7 Smp Semester 1
Aktivitas 1 1 Pkn Kelas 7 Setelah Kalian Mencari Informasi
Buku Siswa Kelas Vii Ppkn Kurikulum 2013 Edisi Revisi 2016
Kisi Kisi Soal Dan Jawaban Pendidikan Kewarganegaraan Smp Kelas 7
Soal Usbn Smp Pkn 2017 Dan Kunci Jawaban Pkn Kelas 7 Soal Pts Pkn
Soal Dan Jawaban Essay Pkn Kelas Xi Semester 2
Kunci Jawaban Soal Uas Pas Ppkn Kls 7 Smp Semester 1 Kurikulum 2013
Download Kunci Jawaban Dan Soal Soal Uas Pkn Kelas 12 Sma
Pkn Kelas 7 Hal 131 Jwb Brainly Co Id
Soal Uas Tik Kelas 7 Semester 1 Dan Kunci Jawaban Ayo Madrasah
Soal Ukk Pkn Kelas 7 Kurikulum 2013 Sekolahsd Tempat Sharing
Buku Pegangan Guru Ppkn Kelas Vii Smp Mts
Kunci Jawaban Lks Pkn Ratih Smp Kelas 8 Semester 1 Laugharne
Kisi Kisi Soal Dan Kunci Jawaban Pkn Smp Kelas 8 Semester Genap
Kumpulan Soal Dan Kunci Jawaban Lks B Inggris Smp Kelas 8 Hit
Download Kunci Jawaban Dan Soal Soal Uts Pkn Kelas 12 Sma Ma
Kisi Kisi Soal Dan Kunci Jawaban Ukk Pkn Smp Kelas 7 Kurikulum 2006
Soal Pkn Kelas 7 Kurikulum 2013 Revisi Beserta Kunci Jawaban Bab 3
Soal Latihan Pat Ukk Kelas 7 K13 Tahun 2019 Administrasi Sekolah
Ppkn Smp Kelas 7 Kurikulum 2013 Apps On Google Play
Soal Ujian Akhir Semester Uas Pkn Kelas 7
Contoh Soal Dan Kunci Jawaban Pkn Kelas Vii Bag 3
Download Kumpulan Soal Bersih Bersih 1 Blognya Bang Fajar
Doc Soal Dan Kunci Jawaban Latihan Ukk Pkn Smp Kelas 8 Bagus
Latihan Soal Uts Pts Ppkn Kelas 7 Semester 2 Kurikulum 2013 Beserta Kunci Jawaban
Kunci Jawaban Soal Pkn Kelas 7 Semester 1 Kurikulum 2013 Revisi 2018
Jawaban Tabel 4 2 Ppkn Kelas 7 Brainly Co Id
Doc Kumpulan Kunci Jawaban Matematika Pkn Bahasa Indonesia Dan
Jawaban Uji Kompetensi 5 2 Bab 5 Ppkn Kelas 7 Smp Halaman 135
Kunci Jawaban Pkn Paket B Doc Kunci Jawaban Penilaian Akhir
Kisi Kisi Dan Soal Kunci Jawaban Pkn
Soal Dan Jawaban Tabel 6 2 Pkn Kelas 7 Semester 2 Halaman 150 151
Kumpulan Soal Pkn Kelas 3 Sma Kunci Jawaban Rar By Nicigfulan Issuu
Soal Pkn Kelas 7 Semester 2 Dan Kunci Jawaban Pilihan Ganda Part 2
Download Kunci Jawaban Dan Soal Soal Ukk Pkn Kelas 11 Sma Ma
Soal Dan Kunci Jawaban Pat Pai Smp Kelas 7 Kurikulum 2013 Tahun
Kisi Kisi Uas Pkn Kelas 7 Semester 1 Soal Latihan Unas Ujian Akhir
Soal Ipa Kelas 7 Smp Bab Unsur Senyawa Dan Campuran Dan Kunci
Rpp Bab I Pkn Smp Pages 1 23 Text Version Fliphtml5
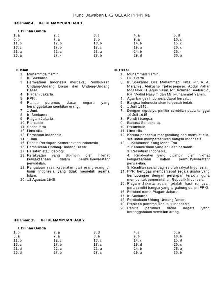
Kunci Jawaban Lks Gelar Pkn Kelas 6a
Buku Guru Kelas Vii Ppkn Kurikulum 2013 Edisi Revisi 2016
Soal Ukk Pkn Kelas 7 Jawaban Kurikulum 2013 Th 2018 Admin Dapodik
Komunis Jadi Kunci Jawaban Anggota Fraksi Gerindra Kabupaten
Soal Ukk Pat Pkn Kelas 7 Kurikulum 2013 Semester 2 Dan Kunci Jawaban
Tabel 6 2 Ppkn Bab 6 Kls 7 Brainly Co Id
Latihan Soal Pat Ppkn Pkn Kelas 8 Smp Mts Kurikulum 2013
Kunci Jawaban Ipa Kelas 7 Kurikulum 2013
Jual Produk Buku Pkn Smp Murah Dan Terlengkap Bukalapak
Rpp Bab I Pkn Smp Pages 1 23 Text Version Fliphtml5
Soal Pat Ukk Pkn Kelas 7 8 Kurikulum 2013 Dan Kunci Jawabannya
Kunci Jawaban Buku Pr Ips Terpadu Kelas 8 Intan Pariwara By
Soal Essay Dan Jawaban Tentang Bela Negara Borrowpour Tk
Contoh Soal Dan Kunci Jawaban Pkn Kelas Vii Bag 1
Soal Uts Kelas 7 Semester 1 Dan Kunci Jawaban Semua Mapel
Kunci Jawaban Ulangan Semester 2 Kelas 7 Soal Ipa Mandy Miller
Soal Uas Pas Pkn Kelas 7 Kurikulum 2013 Semester 1 Dan Kunci Jawaban
Kumpulan Soal Dan Jawaban Prispevky Facebook
Doc Pkn Kelas Vii Semester 2 Suci Sudarmi Academia Edu
Latihan Soal Ulangan Kenaikan Kelas Ukk Pkn Kelas 8 Smp Mts
Soal Uts Kelas 7 Semester 1 Dan Kunci Jawaban म फ त
Soal Uas 2 Ukk Pkn Kelas 7 Smp Mts Dan Kunci Jawaban Candraedukasi
Search Soal Dan Kunci Jawaban Pjok Kelas 5 Idslide Net
45 Soal Ulangan Ukk Ipa Kelas 7 Smp Kurikulum Ktsp Pg Dan Esay
Download Soal Uts Pkn Kelas 6 Sd Semester 1 Ganjil Dan Kunci
Soal Ukk Pat Smp Mts Kelas 7 Tahun 2019 Lengkap Semua Pelajaran
Kumpulan Soal Ips Kelas 7 Semester Ganjil Kurikulum 2013 Oleh Didno
Soal Dan Kunci Jawaban Pat Bahasa Inggris Smp Kelas 7 Kurikulum 2013
Soal Pkn Kelas 7 Semester 1 2 Dan Kunci Jawabannya Kurikulum 2013
Kunci Jawaban Intan Pariwara Kelas 12 Pk
Kisi Kisi Soal Uas Pkn Semester Ganjil Smp Kelas 7 8 9
Soal Bahasa Inggris Kelas 7 Semester 1 Dan Kunci Jawaban Download
Ppkn Smp Kelas 7 Kurikulum 2013 Apps On Google Play
Soal Pkn Dan Kunci Jawaban Sd Kls 3 Semester 2
Soal Pat 2019 Kelas Xi K13 Beserta Kunci Jawaban Latihan Pat Ukk
Buku Ppkn Smp Kelas 7 K13 Revisi 2017




Post a Comment
Post a Comment